


Interatomic Potentials for Amorphous Solids From Second Principles
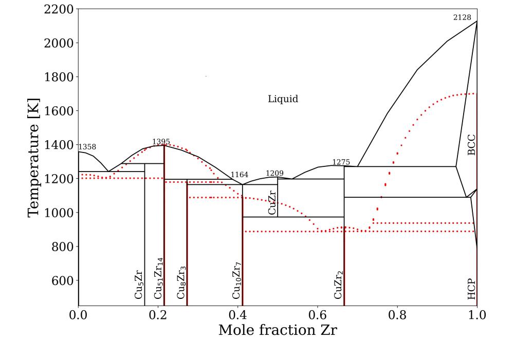
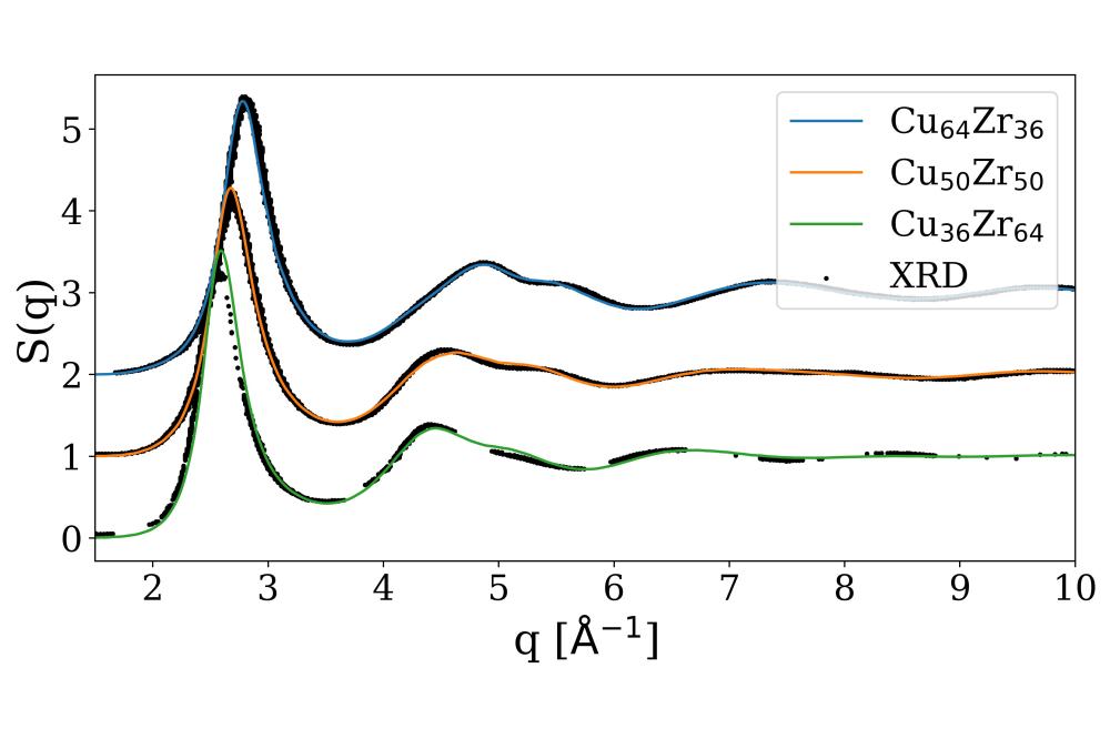
Metallic glasses (MGs) can be produced by quickly quenching alloy melts. They typically show a higher elastic limit and ...
Sie können Ihre Fragen zum Hochleistungsrechnen an der TU Darmstadt an darmstadt@hpc-hessen.de senden.
Das HKHLR Team in Darmstadt arbeitet eng mit den Administratorinnen und Administratoren des Lichtenberg Clusters zusammen.
Metallic glasses (MGs) can be produced by quickly quenching alloy melts. They typically show a higher elastic limit and ...
Ferroelectric ceramics with perovskite structure can be used in novel cooling applications based on the electrocaloric ...
The general purpose of this project was to investigate the capabilities of the Proper Orthogonal Decomposition Fourier ...
The safe supply of energy and electrical power will require operation of conventional power plants in the next decades ...
Achieving long-horizon dexterous manipulation remains a challenging problem in robotics. There exists a long history of ...
The goal of ab initio nuclear structure theory is the description of nuclei from first principles without uncontrolled ...
Permanent magnets are the key component of electric motors and generators, which currently have a high demand in the ...
Magnetocaloric materials are of interest for magnetic refrigeration of microfluidic reactors, electronic chips or other ...
Historically, CFD codes implementing arbitrary Lagrangian Eulerian interface tracking (ALEIT) for the simulation of ...
Overall objective of this project is to develop an elementary physical/chemical bridging model for the chemical reaction ...
Knocking combustion in an internal combustion engine is initiated by auto-ignition ahead of the flame front. Thus ...
Spray cooling is a very effective method for cooling of electronic devices. The study of the impact of single and ...
Reducing pollutants is one of the main research interests for current and future combustion devices. Soot particles are ...
We made several numerical calculations regarding the model of Spatial Random Permutations (SRP). This is a model in ...
In internal combustions engines and in systems for exhaust gas aftertreatment, sprays interact with liquid wall films ...
The assessment of the state of continental ice sheets has become a major issue in recent years and decades. These ...
The previous investigation of neutral SnN clusters with N = 6 - 20 showed that for clusters with N ≤ 15 prolate ...
In previous project we investigated on the scaling and the load balancing of the Ice-sheet and Sea-level System Model ...
Earth modeling is a wide field of different scientific domains, e.g., ice-modeling. All domains have in common, that ...
Typical HPC applications represent simulations of large scientific problems. Usually, these applications alternate ...
Coarse-Grained molecular dynamics simulation is a promising alternative to all-atom molecular dynamics simulation for ...
Aerodynamics is one of the key factors in motorsport. This project aims the development and optimization of an ...
Since their invention in the 1960s, metallic glasses (MGs) gained great attention due to their high strength and elastic ...
Due to its high efficiency nucleate boiling is a promising process for the cooling of electronic devices either for ...
This project was a follow-up project for our initial project intended at setting up Lichtenberg Cluster for the use ...
The formation of pollutants in direct injection engines is a field of research with high practical impact. Against this ...
Since semiconductors are fundamental for modern technologies, the research is focused on such materials and their ...
The project focuses on an iron catalysed method to prepare unprecedented chemical synthons, developed in the group of Dr ...
Layered transition metal oxides are employed as cathode materials in high-voltage, rechargeable lithium ion batteries ...
The flow conditions at the combustor turbine interface (CTI) have a significant role in the development process of ...