Isaac Farias _WoTan - Hydrogen combustion for aero-engines. Study of differential diffusion on multi-regime burner_Fig2

Isaac Farias _WoTan - Hydrogen combustion for aero-engines. Study of differential diffusion on multi-regime burner_Fig2

Caption

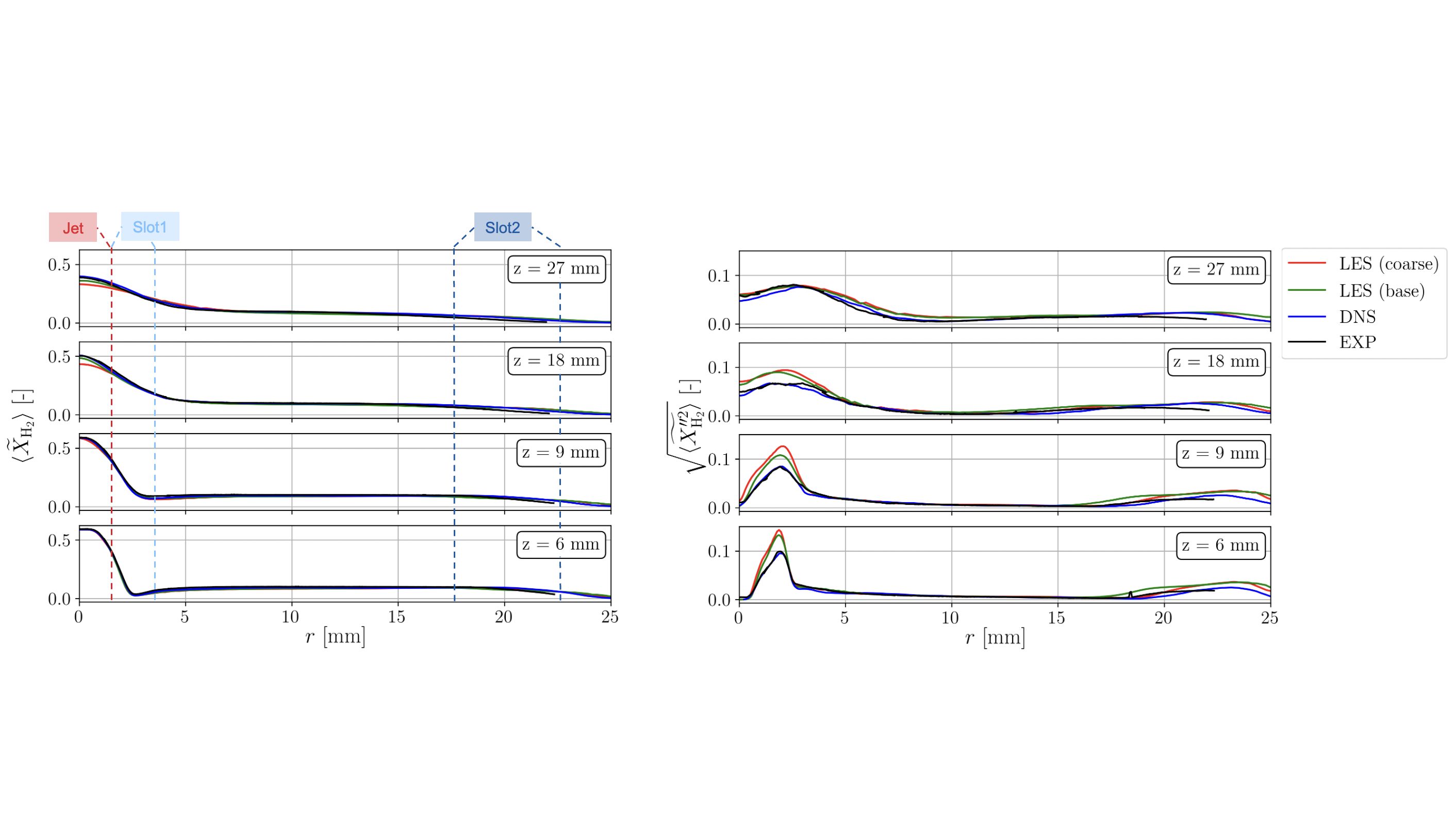
Figure 2: Radial plots of time-average (left) and root-mean-square fluctuation (right) of hydrogen mole fraction on different heights above the burner tip.

Participating Universities